5.1 Úvod

Po celotělovém jednorázovém ozáření organizmu dávkou vyšší než 0,7 Gy vzniká onemocnění charakterizované jako akutní nemoc z ozáření. Protože dochází k ozáření všech systémů, je možné pozorovat rozvoj celkového obrazu poškození.

Klinické projevy akutní nemoci z ozáření jsou závislé na geometrii, dávce a dávkovém příkonu ozáření, na věku, pohlaví, zdravotním stavu a dalších biologických faktorech charakterizujících ozářený objekt. Významnou roli hrají i případná další onemocnění nebo poranění doprovázející nemoc z ozáření.

Postižený může být poškozen ionizujícím zářením rovnoměrně, nachází-li se v daném okamžiku na otevřené ploše nebo nerovnoměrně, je-li skryt například za přírodní překážkou. Zde pak záleží, která část těla byla ozářena přímo. Zároveň může dojít k vnější a vnitřní kontaminaci radionuklidy. Efektivní dávka je pak dána množstvím radionuklidů a typem kontaminace, poločasem rozpadu, skladbou a množstvím příslušných radionuklidů a kvalitou dekontaminace.

V posuzování průběhu nemoci z ozáření hraje významnou roli faktor rozdělení dávky záření v organizmu. Objasňuje závislost závažnosti radiačního poškození lidského organizmu v závislosti na distribuci absorbované dávky ionizujícího záření v organizmu. Pro vyjádření stupně nerovnoměrnosti distribuce dávky v organizmu je používán faktor neuniformity (fn), což je podíl dávky maximální a dávky minimální podle vztahu:

fn = Dmax / Dmin.

Čím rovnoměrnější je rozložení ozáření, tím je hodnota fn nižší. V případě posuzování distribuce dávky po ozáření neutrony faktor neuniformity výrazně závisí na energii neutronů.

Celotělové, jednorázové zevní ozáření, s různým stupněm rovnoměrnosti

K tomuto typu poškození organizmu dochází ve volném prostoru, kdy posti­žený je od zdroje minimálně stíněn nebo se nachází v oblasti čerstvě vypadlé ra­dioaktivní stopy. Hodnoty fn jsou blízké 2,0.

Celotělové, jednorázové zevní, silně nerovnoměrné ozáření  

K tomuto typu poškození organizmu dochází v důsledku jeho ozáření, kdy má postižený část těla účinně krytou. Klinický i laboratorní obraz, včetně průběhu nemoci, značně závisí jak na fn (zpravidla má hodnotu vyšší než 5), tak na tom, která část těla byla ozářena. Nejcitlivější je hematopoetický systém a zárodečné buňky, dále rychle se dělící buňky jako je epitel tenkého střeva a kůže. Další skupinou jsou méně senzitivní buňky (malé cévy, spojivka) a nejméně citlivou skupinou jsou buňky, které se v dospělosti již prakticky nedělí (buňky jater, chrupavky, kostí, svalové a nervové buňky).

Sdružené a kombinované radiační poškození

Zkušenosti z dosavadních havárií zdrojů ionizujícího záření i při jejich pří­padném válečném využití v roce 1945 ukázaly, že často dochází ke sdruženému radiačnímu poškození tj. k zevnímu ozáření a k povrchové a vnitřní kontaminaci radionuklidy. Klinický a laboratorní obraz je ovlivněn výsledným působením všech uvedených možností ozáření. Prvotní projevy poškození jsou dány zevním ozářením, projevy poškození po zevní a vnitřní kontaminaci radionuklidy zpravidla nastupují s časovým zpožděním.

Kombinované radiační poškození organismu (mixty) znamená navíc další poškození např. popálením, poraněním apod..

Při vnitřní kontaminaci jsou radiací nejvíce postiženy oblasti vstupních cest - dutina ústní, sliznice nosu a horních cest dýchacích. Zhruba polovina kontaminantů se činností řasinkového epitelu vrací do nosohltanu, dále je polykána a vylučována gastrointestinálním traktem, který je tak rovněž poškozován. Závažnost poškození organizmu při kontaminaci je dána efektivním poločasem radioizotopů, charakterem kontaminující látky (prach, písek) a stupněm ochrany pokožky ve chvíli kontaminace (oděv) případně použitím ochranných prostředků.

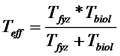
Efektivní poločas (Tef) je doba, za kterou klesne celková aktivita podaného radionuklidu v organizmu na polovinu v důsledku biologické eliminace (Tbiol) a radioaktivních přeměn (Tfyz)

image001

Podle faktoru nerovnoměrného rozložení (fn), lze odvodit předpokládaný klinický i laboratorní obraz průběhu vlastního postižení.

Pod pojmem vnější kontaminace chápeme pokrytí pokožky prachem, který obsahuje radioizotopy. Kromě přímého poškození kůže a podkoží (radionuklidy emitující alfa a především beta záření) hrozí i jejich vstřebání do podkoží a to zvláště při ztrátě integrity kůže (řezné či sečné rány, plošná poškození).

Pro podporu vyslovení diagnózy akutní nemoci z ozáření nám pomůže některý z následujících podkladů:

Akutní nemoc z ozáření zahrnuje tři základní syndromy, jejichž výskyt je závislý na absorbované dávce ionizujícího záření. Jsou to dřeňový syndrom, gastrointestinální syndrom a neurovaskulární syndrom.

 

Stupeň závažnosti akutní nemoci z ozáření v závislosti na dávce, odpovídající klinická forma a prognóza.

stupeň závažnosti

dávka ( ± 30%) Gy

klinická forma

prognóza

lehký

1 - 2

dřeňová

zcela příznivá

střední

2 - 4

příznivá

těžký

4 - 6

poměrně příznivá

velmi těžký

6 - 8

poměrně nepříznivá

8 - 30

střevní

zcela nepříznivá

30

neurovaskulární


 
 

powered by sirdik